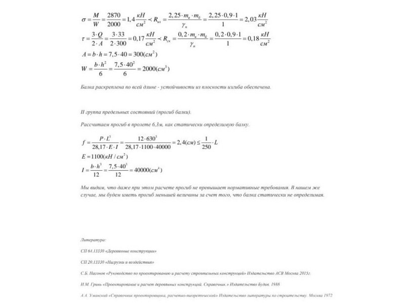
Проектирование и расчет строительных конструкций

Бајмок


Описание

Здравствуйте,

Меня зовут Вадим Павлов, и я ищу работу в сфере проектирования строительных конструкций. С большим опытом работы более 10 лет, я специализируюсь на прочностном расчете железобетонных, каменных и деревянных конструкций, проектировании малоэтажных зданий, а также проектировании и расчете фундаментов.

Мои навыки и знания позволяют мне создавать надежные и эффективные строительные проекты. Мои преимущества включают ответственность, аккуратность и пунктуальность в выполнении задач.

Если вы ищете специалиста с опытом, способного качественно и своевременно выполнять проекты, в т.ч. онлайн, я готов приступить к работе немедленно.

Контактная информация:


Похожие

Услуги - Ремонт и строительство - Ремонт и отделка помещений

Ремонт и отделка помещений

Град Београд

17.02.2025

Услуги - Ремонт и строительство - Ремонт жилых и коммерческих помещений

Ремонт жилых и коммерческих помещений

Нови Сад

11.06.2023

Услуги - Ремонт и строительство - Монтаж заборов

Монтаж заборов

28.05.2023

Услуги - Ремонт и строительство - Дизайн интерьера, опыт 18 лет, грамотно и уютно

Дизайн интерьера, опыт 18 лет, грамотно и уютно

Нови Сад

29.01.2025

Услуги - Ремонт и строительство - Внутренняя отделка стен

Внутренняя отделка стен

28.05.2023